Skip to main content
West Carroll
CUSD 314
Main Menu Toggle
District
Superintendent
Newsletter
Spotlight Page
Board Of Education Members
Board of Education Meeting Agenda, Media Report and Minutes
Board Policy Manual
FOIA
Collective Bargaining Agreements
District Vacancies
Employee Application
Schools
West Carroll Primary
West Carroll Middle School
West Carroll High School
Our Schools
Our Communities
Departments
Finance
Transportation
Food Service - Cafeteria Forms
Food Service - CC Health Inspections
Food Service USDA Nondiscrimination Statement
Food Service USDA Lunch Program
Food Service National School Lunch Program
Staff
Administration & Certified Staff Salary Compensation & Benefits Report
Skyward Employee Management
Ed Leaders Network
Wellness
Wellness Policy
Forms
IMRF Employer Cost and Participation Information
Teacher Resources
Faculty Handbook
Parents
Parent/Student Handbook
E-Funds (Payment Service)
Emergency School Closings
Bus Routes
IHSA Parent Info
Corrective Action Plan For Suspension Data
Registration Information & Forms
Laptop 1:1 Initiative
Understanding Type 1 Diabetes for Parents and Guardians
College Now Reimbursement Form
ParentSquare
Sports Boosters
West Carroll Sports Boosters
Resources
MAP Resources
Title IX Information
SOPPA
West Carroll Alumni
Summer School
ISBE Discipline Improvement Plan
PACE
Calendar
District Events 2025-2026 Calendar
School Year 2025-2026 Calendar
Athletic 2025-2026 Calendar
Quicklinks
School Email
Schoology
EFunds
Employee Management
Skyward Student Management
Enrollment/Registration
Schools
West Carroll CUSD 314
West Carroll High School
West Carroll Middle School
West Carroll Primary
Search
District
»
Board of Education Meeting Agenda, Media Report and Minutes
Board of Education Meeting Agenda, Media Report and Minutes
Prior minutes are available at Boardbooks on the West Carroll 314 Board Book Site:
BoardBook West Carroll 314
Finance Agenda Nov. 13
It appears you don't have a PDF plugin for this browser. Please
download the PDF file
.
Transportation Cmte Nov. 13
It appears you don't have a PDF plugin for this browser. Please
download the PDF file
.
PTAC_BI Committee Agenda
It appears you don't have a PDF plugin for this browser. Please
download the PDF file
.
Media Report-October 15, 2025
Media Report- September 23, 2025
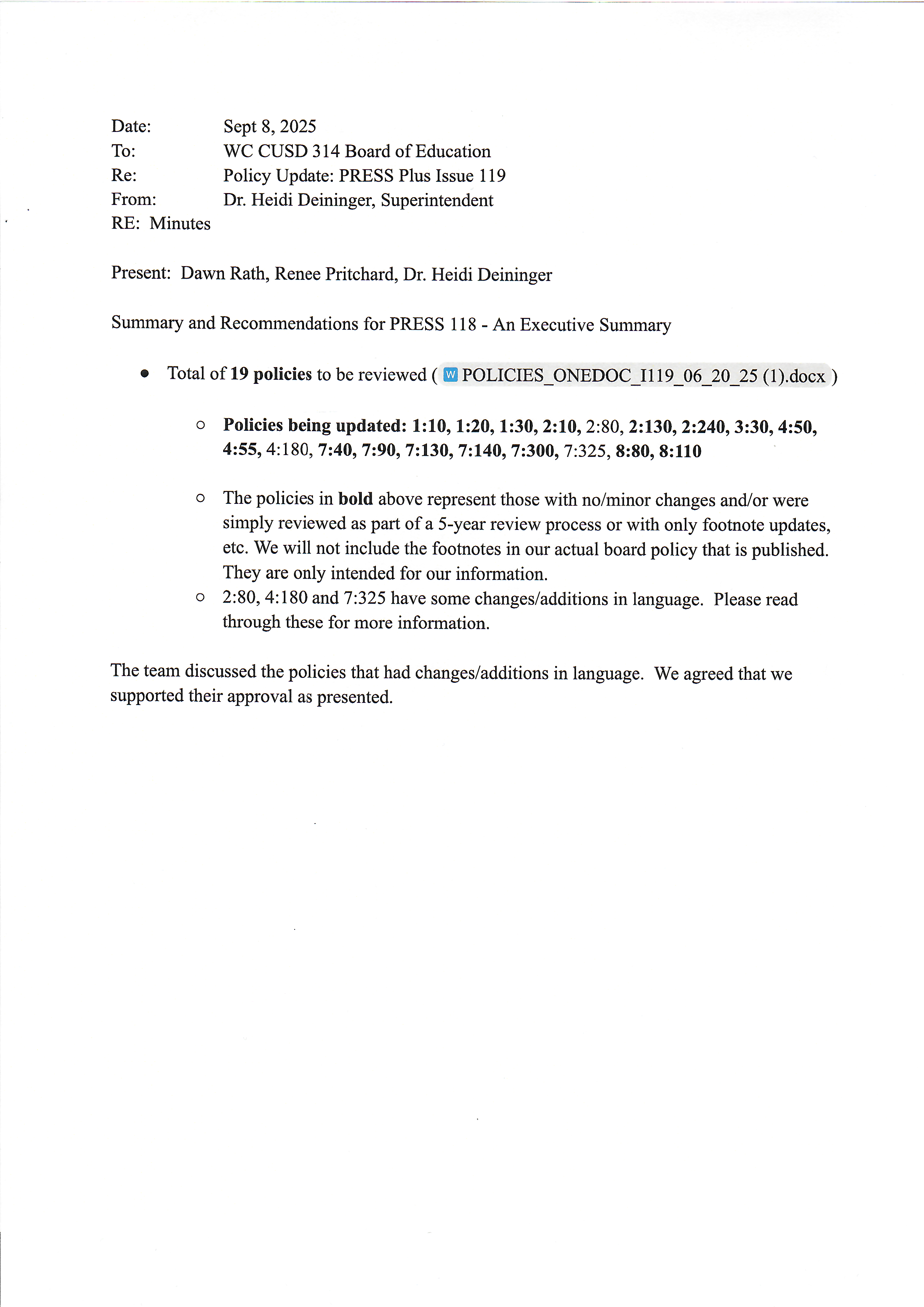
Press Policy Meeting Minutes Sept. 8, 2025
Media Report- August 21, 2025
Notice of Possible Quorum
Special Meeting Agenda 7.31.docx
Building & Grounds Meeting Minutes April 3, 2025.jpeg
Building & Grounds Meeting Minutes February 3, 2025
Media Report February 20, 2025
Media Report January 16, 2025
Media Report December 19,2024
Media Report November 20, 2024
Media Report-October 17, 2024
Media Report September 18, 2024
Media Report August 15, 2024
Public Hearing Amended Budget Regular Meeting June 21, 2023
Media Report June 20, 2024
Media Report May 15, 2024
Media Report April 17, 2024
Special Joint Meeting March 21, 2024
Special Meeting-July 5, 2023
Minutes,Special Meeting May 30, 2023
Minutes, Special Meeting May 26, 2023
Minutes,Special Meeting Board Retreat May 17, 2023
Minutes, Regular Meeting-May 8, 2023
Media Report May 19, 2023
Board Agenda May 8, 2023 Final
May 2, 2023 Finance & Facilities Committee Meeting
Media Report June 22, 2023-pdfrev
Superintendent
Board Of Education Members
Board of Education Meeting Agenda, Media Report and Minutes
Board Policy Manual
FOIA
District Vacancies
Employee Application
Mission Statement
2023 Town Hall Informational Meetings
West Carroll River Bend Feasibility Study 2024
School Year 2025/2026 Calendar
Surplus Vehicle Bid
District Truth in Taxation Hearing and Levy
Substitutes and Paras
Newsletter
2025-2026 BOE Meeting Dates
Schools
Parent Portal
Staff Directory
Calendar